依那普利()
第1题:
依那普利降压的作用原理是( )
第2题:
下列关于依那普利的说法正确的是( )

A.依那普利是含有苯丙氨酸结构的药物
B.是依那普利分子中只含有4个手性中心
C.口服吸收极差,只能静脉注射给药
D. 依那普利结构中含有碱性的赖氨酸基团,是产生药效的关键药
E. 依那普利代谢依那普利拉,具有抑制ACE作用(2016年执业药师药学专业知识(一)真题)
第3题:
可导致血糖增高的药物是
A、洛伐他汀
B、阿司匹林
C、雷尼替丁
D、依那普利
E、氢氯噻嗪
第4题:
依那普利属于
第5题:
急性肺水肿抢救时不宜选用
A.依那普利
B.吗啡
C.呋塞米
D.硝普钠 &&
E.氨茶碱
第6题:
第7题:
与依那普利不相符的叙述是()
第8题:
下列药物属于前药的有哪些()
第9题:
第10题:
第11题:
卡托普利
依那普利那
福辛普利
赖诺普利
马来酸依那普利
第12题:
依那普利十利尿药( )
第13题:
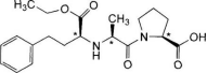
依那普利是前体药物,口服给药后在体内水解味依那普利拉,具体如下: 下列关于依那普利的说法正确的是( )

A.依那普利是含有苯丙氨酸结构的药物
B.是依那普利分子中只含有4个手性中心
C.口服吸收极差,只能静脉注射给药
D.依那普利结构中含有碱性的赖氨酸基团,是产生药效的关键药
E.依那普利代谢依那普利拉,具有抑制ACE作用
第14题:
依那普利的结构式为
A.
B.
C.
D.
E.
第15题:
根据材料,回答题
依那普利的结构式为


查看材料
第16题:
第17题:
依那普利的结构式为()
A
B
C
D
E
第18题:
高血压危象应首选( )
第19题:
依那普利是含有苯丙氨酸结构的药物
依那普利分子中只含有四个手性中心
口服吸收差,只能静脉注射给药
依那普利结构中含有碱性的赖氨酸基团,是产生药效的关键药
依那普利代谢产物依那普利拉,具有抑制ACE的作用
第20题:
抗血小板药
依那普利
乙醇
抗血小板药和依那普利
抗血小板药、依那普利和乙醇
抗血小板药和乙醇
第21题:
属于血管紧张素转化酶抑制剂
药用其马来酸盐
结构中含有3个手性碳
结构中含有2个手性碳
为前药,体内水解代谢为依那普利拉而生效